|
Учебные материалы по физической химии
Задачи по физической химии.Часть 2.Химическая кинетика. Электрохимия
5. Кинетика сложных реакций
При изучении кинетики сложных реакций,
включающих несколько элементарных стадий,
используют принцип независимости химических
реакций:
Если в системе протекает несколько простых
реакций, то каждая из них подчиняется основному
постулату химической кинетики независимо от
других реакций.
Основные типы сложных реакций мы рассмотрим на
примере реакций первого порядка.
1. Обратимые реакции первого порядка:

Закон действующих масс записывается следующим
образом:
.
Если начальные концентрации веществ A и B
обозначить, соответственно, a и b и ввести
степень превращения x ([A] = a - x, [B] = b
+ x), то кинетическое уравнение приобретает
вид:
.
Решение этого уравнения можно выразить через
степень превращения, соответствующую достижению
равновесия:
или , (5.1)
где x определяется
условием равенства скоростей прямой и обратной
реакций:
, откуда следует: . (5.2)
При t наступает равновесие,
которое характеризуется константой:

2. Параллельные реакции первого порядка:

Кинетическое уравнение записывается с учетом
принципа независимости:
.
Решение этого уравнения записывается так же,
как и для одной реакции первого порядка:
, . (5.3)
Для параллельных реакций в любой момент
времени отношение концентраций продуктов
постоянно и определяется константами скорости
элементарных стадий:
.
3. Последовательные реакции первого
порядка:

Пусть в начальный момент времени есть только
вещество A. Применим к этой системе закон
действующих масс и принцип независимости
химических реакций:

с начальными условиями [A]0 = a, [B]0
= [D]0 = 0.
Решение этой системы дает концентрации
веществ:

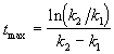
Концентрация промежуточного вещества
достигает максимума при
.
Величина этого максимума определяется
отношением констант k2 / k1.
Если оно велико, т.е. k2 >> k1,
то промежуточный продукт не успевает
накапливаться и его концентрация в любой момент
времени мала. В этом случае для анализа
кинетических уравнений можно использовать
приближенный метод квазистационарных
концентраций ( 6).
ПРИМЕРЫ
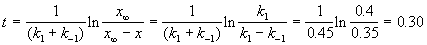
Пример 5-1. Для обратимой реакции первого
порядка

Kравн = 8, а k1 = 0.4 с-1.
Вычислите время, при котором концентрации
веществ A и B станут равными, если начальная
концентрация вещества B равна 0.
Решение. Из константы равновесия находим
константу скорости обратной реакции:
с-1.
По условию, мы должны найти время, за которое
прореагирует ровно половина вещества A. Для этого
надо подставить значение x(t) = a/2 в
решение кинетического уравнения для обратимых
реакций (5.1) и (5.2):
c.
Пример 5-2. В параллельных реакциях первого
порядка

выход вещества B равен 63%, а время превращения A
на 1/3 равно 7 минутам. Найдите k1 и k2.
Решение. Кинетическое уравнение (5.3) для
разложения вещества в параллельных реакциях
имеет вид уравнения первого порядка, в которое
вместо одной константы скорости входит сумма
констант скорости отдельных стадий.
Следовательно, по аналогии с реакциями первого
порядка, по времени превращения A на 1/3 (x(t)
= a/3) можно определить сумму констант k1
+ k2:
мин-1.
Выход вещества В равен 63%, а вещества D - 37%.
Отношение этих выходов равно отношению конечных
концентраций веществ B и D, следовательно оно
равно отношению соответствующих констант
скорости:
.
Решая это уравнение совместно с предыдущим,
находим: k1 = 0.037 мин-1, k2 =
0.021 мин-1.
Пример 5-3. Имеется следующее равновесие:

Как связаны между собой константы k1 - k6?
Решение основано на принципе детального
равновесия:
Если сложная система находится в равновесии, то
в каждой из элементарных стадий также
соблюдается равновесие.
Это означает, что во всех трех процессах: A B, B C и C A скорости
прямой и обратной реакций равны:

Перемножив почленно эти три равенства и
поделив левую и правую части на произведение
равновесных концентраций [A]. [B]. [C], находим
искомое соотношение между константами скорости:
.
ЗАДАЧИ
5-1. Нарисуйте графики зависимости
концентраций веществ A и B от времени в обратимой
реакции A B для двух
случаев: 1) k1 > k-1; 2) k1
< k-1. В обоих случаях начальная
концентрация B не равна 0.
5-2. Найдите период полупревращения вещества A
в обратимой реакции A B
([B]0 = 0).(ответ)
5-3. Найдите время, за которое вещество A
распадется на 1/3 в обратимой реакции A B ([B]0 = 0). При каком
минимальном значении k2 вещество А
никогда не сможет распасться на 1/3?(ответ)
5-4. Для обратимой реакции первого порядка

Kравн = 10, а k1 = 0.2 с-1.
Вычислите время, при котором концентрации
веществ A и B станут равными, если начальная
концентрация вещества B равна 0.(ответ)
5-5. Превращение роданида аммония NH4SCN в
тиомочевину (NH4)2CS - обратимая реакция
первого порядка. Рассчитайте константы скорости
прямой и обратной реакций, используя следующие
экспериментальные данные:
t, мин |
0 |
19 |
38 |
48 |
60 |

|
Доля
прореагировавшего NH4SCN, % |
2.0 |
6.9 |
10.4 |
12.3 |
13.6 |
23.2 |
(ответ)
5-6. Один из методов оценки возраста
биологических объектов основан на измерении
содержания в них оптических изомеров
аминокислот. В живых организмах отношение
концентраций D- и L-изомеров постоянно ([D]0 /
[L]0 = a). В мертвых организмах происходит
рацемизация:

Чему равен возраст биологического объекта, в
котором [D] / [L] = b? Решите задачу в общем виде и
для образца, содержащего аспарагиновую кислоту (k
= 1.48. 10-5 лет-1, a = 0.07, b = 0.27).(ответ)
5-7. В параллельных реакциях первого порядка

выход вещества B равен 53%, а время превращения A
на 1/3 равно 40 c. Найдите k1 и k2.(ответ)
5-8. Реакция разложения вещества А может
протекать параллельно по трем направлениям:

Концентрации продуктов в смеси через 5 мин
после начала реакции были равны: [B] = 3.2 моль/л, [C] =
1.8 моль/л, [D] = 4.0 моль/л. Определите константы
скорости k1 - k3, если период
полураспада вещества А равен 10 мин.(ответ)
5-9. Реакция разложения вещества А может
протекать параллельно по трем направлениям:

Концентрации продуктов в смеси через 10 мин
после начала реакции были равны: [B] = 1.6 моль/л, [C] =
3.6 моль/л, [D] = 7.8 моль/л. Определите константы
скорости k1 - k3, если период
полураспада вещества А равен 8 мин.(ответ)
5-10. Покажите, что при двух параллельных
реакциях

энергия активации суммарной реакции
разложения A связана с энергиями активации
отдельных стадий следующим образом:

(ответ)
*5-11. В системе идут две параллельные
газофазные реакции: А + B C
(k1), A D (k2).
Исходная смесь эквимолекулярна, начальное
давление составляет 200 мм рт. ст. При практически
полном превращении А при 227 оС РС =
10 мм рт.ст., а при 327 оС РС = 39 мм
рт.ст. Найдите разность энергий активации этих
реакций.(ответ)
5-12. На одном графике нарисуйте зависимости
концентрации вещества B от времени в системе
последовательных реакций A B D для двух
случаев: 1) k1 >> k2; 2) k1
<< k2.
5-13. Докажите, что максимальная концентрация
промежуточного продукта в системе двух
последовательных реакций первого порядка
определяется только отношением констант
скорости. Найдите эту максимальную концентрацию
в двух предельных случаях: 1) k2 / k1
>> 1; 2) k2 / k1 << 1.(ответ)
5-14. Найдите зависимость концентрации
вещества B от времени в системе ([A]0 = a):

(константы скорости обеих стадий одинаковы).(ответ)
*5-15. Образец радиоактивного урана массой 100 г
распадается по схеме:

(над стрелкой указаны периоды полураспада).
Рассчитайте массы нептуния и плутония через 1) 20
мин; 2) 20 дней после начала распада. Определите
максимальную массу нептуния, которая может быть
получена из данного образца урана.(ответ)
*5-16. Дана кинетическая схема:

Решите кинетическое уравнение для этой схемы
([A]0 = a, [B]0 = [C]0 = 0) и найдите
зависимость концентрации вещества A от времени.(ответ)
*5-17. Дана кинетическая схема:

Составьте и решите систему кинетических
уравнений для этой схемы ([A]0 = a, [B]0
= [C]0 = 0). При каких значениях констант
скорости k1 - k3 концентрация
промежуточного вещества В будет проходить через
максимум?(ответ)
*5-18. Дана кинетическая схема:

Составьте и решите систему кинетических
уравнений для этой схемы ([A]0 = a, [B]0
= [C]0 = 0). Когда достигается максимум
концентрации промежуточного вещества В?
|